您当前的位置: 首页 » 招生 » 招生信息 » 正文

2024年全国硕士研究生招生考试bwin必赢中国官网考点 考生须知(三)考场分布图

来源:      发布日期:2023-12-22  访问量:
bwin·必赢(中国)唯一官方网站


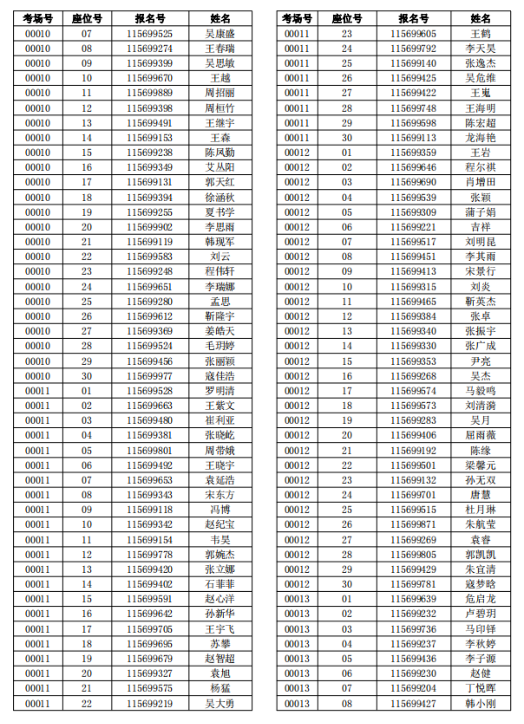
考生您好,bwin必赢中国官网考点考场详细信息见下表,请您仔细查看,预祝您考试顺利!

教图楼:

c675b3964cb38eb07692e932c998e18

84693e8f44c683b73a8f6db42d987c2

4bcb607a4185ab5a43aba8866dbc474

673605085d120c5c5f401bec4412919

d81a213a58d2ac2227f2b3d8637dfff

主楼:

7317565c74c9634a4e211a4d91e193c

f169b8acb09a362af2f651f6ebb84b0

9363a2d9c2668ca67a4ff294fb37e04

ed1577b389a97f79563e36f7f980f41